Home » Exercices Corriges Energie Mecanique Pdf » Exercices Corriges Energie Mecanique Pdf
Exercices Corriges Energie Mecanique Pdf
Ce site vous offre des cours des livres des problemes corriges gratuitement pour toutes les filieres universitaires scientifiques francophone.
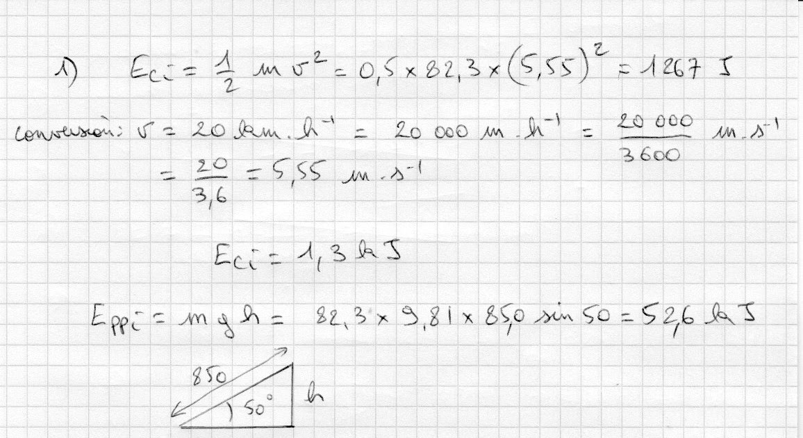
Exercices corriges energie mecanique pdf. Cours exercices et evaluation a imprimer de la categorie travail energie mecanique. Terminale s ts. Plus de 15000 cours lecons exercices et. Exercices corriges a imprimer pour la premiere s conservation ou non conservation de lenergie mecanique exercice 01.
Choisir la les bonnes reponses.












































