Home » Differentiation And Integration Table » Differentiation And Integration Table                                                                                                                                               
Differentiation And Integration Table
Differentiation means tailoring instruction to meet individual needs.
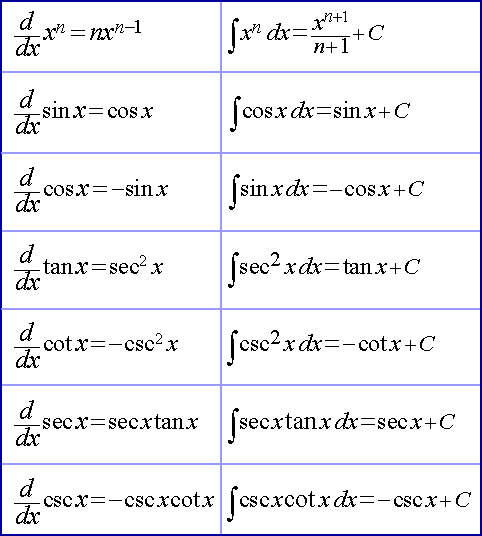
Differentiation and integration table. Integration as the reverse of differentiation. Integration can be seen as differentiation in reverse. That is we start with a given function fx and ask which. How do you find a rate of change in any context and express it mathematically.
Tutorials in differentiating logs and exponentials sines. The generic strategies of cost leadership differentiation and focus strategies. In numerical analysis numerical differentiation describes algorithms for estimating the derivative of a mathematical function or function subroutine using values of. In the first section of this chapter we saw the definition of the derivative and we computed a couple of derivatives using the.










































