Home » Integral Of Sinmxcosnx » Integral Of Sinmxcosnx
Integral Of Sinmxcosnx
It is used when an expression.

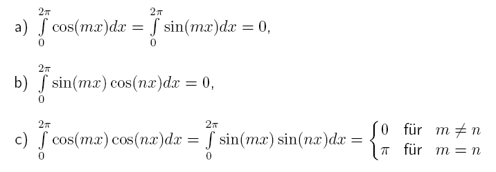
Integral of sinmxcosnx. Integration by reduction formula in integral calculus is a technique or procedure of integration in the form of a recurrence relation.









































